新站区招商奥体公园三期(璟悦湾)登记结果公示
扫描到手机,新闻随时看
扫一扫,用手机看文章
更加方便分享给朋友
招商奥体公园是新站区最值得期待的房子之一,凭借招商强大的实力和规划,新站区奥体公园为人们创造了一个美好的梦想,虽然周边的资源不如少荃湖板块丰富,但是开发空间大,并且招商有很好的条件,周边规划有很好的商业配套。
咨询热线:0551-68111601
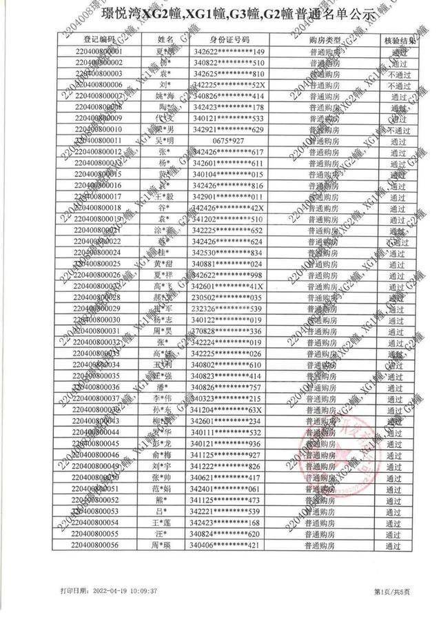
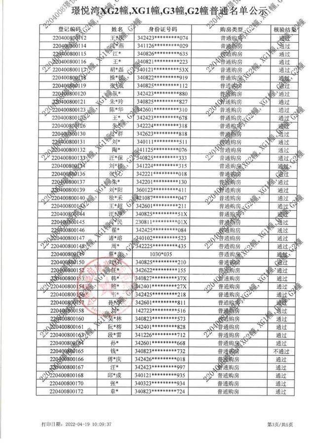
4月19日,新站区招商奥体公园三期(璟悦湾)登记结果公示。
新站区招商奥体公园三期(璟悦湾)共登记253人,45人审核未通过,成功登记298人。具体为刚需登记48人,6人审核未通过,登记成功42人;普通购房者登记205人,39人审核未通过,成功登记166人。未达摇号比例,由开发商自行销售。

据悉,招商奥体公园三期属于招商在2021年12月8日竞得的新站XZ202112地块中的一部分。
4月15日,新站区招商奥体公园三期(璟悦湾)登记G3幢、XG1幢、G2幢、XG2幢,为高层、小高层房源,共计316套房源(刚需供应95套),其中高层均价15746.42元/㎡、小高层均价16410.28元/㎡,非刚需首付3成起。
12月8日,招商蛇口以863万元/亩竞得新站区XZ202112号地块,总价169733.74万元,住宅楼面价6472.5元/㎡,溢价率0.58%。

新站区XZ202112号地块位于新站区铜陵北路以东、项王东路以北,面积为213.06亩(A商住混合62.87亩、B居住57.98亩、C幼儿园13.49亩、D商住混合78.72亩),容积率:商住≤2.0居住≤2.0幼儿园≤0.8,无配建保障性租赁住房,参考(起始)地价:居住858万元/亩、商业320万元/亩、幼儿园100万元/亩(拍卖时,居住用地价格变化,商业、幼儿园用地价格固定),竞买保证金3.5亿元,居住较高限价979万元/亩,地块较高总价192054万元,商品住宅(毛坯)平均备案价格13924元/㎡。
咨询热线:0551-68111601
竞得人须同步修建一座15班幼儿园,在A或D块商业地块内修建一座小型消防站(建筑面积650-1000平方米),建成后须无偿移交给新站高新区管委会相关部门。同时,A和D中的商业建筑须整体持有,整体运营,不得分割转让。
声明:本文由入驻焦点开放平台的作者撰写,除焦点官方账号外,观点仅代表作者本人,不代表焦点立场。


